Információk az előrejelzési versenyhez
Versenyinformációk
A VERSENYSZABÁLYZATÚj előrejelzés elküldése az előrejelzési versenybe
A legutóbbi forduló eredménye
A verseny összesített állása
A 3 kieső fordulót nem tartalmazó összesített lista
A synop-kódok értelmezéséhez egy kis segítség
Szélirány-meghatározáshoz segítség
Stelvio segítségével megjelenített összesített ranglista
Stelvio segítségével megjelenített örökranglista
Stelvio segítségével megjelenített dicsőséglista
A meteorológiai állomások elhelyezkedése
A meteorológiai állomások beosztása
Gratulálok a forduló győzteseinek, hófúvásnak pedig a nyári kör diadalához és a megérdemelt koronához!
Köszönjük a szervezést és társaknak a versenyzést!
Köszönjük a szervezést és társaknak a versenyzést!
A 2024 évi nyári szezon utolsó fordulóját lezártam. a fordulót többen nyerték, így felsorolom a versenytársak neveit: coontac, Pestimet, Misimókus és Bakonyvár nyerték pontazonosan az utolsó fordulót, gratulálok nekik!
Forduló: Link
Összetett: Link
És akkor így áll fel az első húsz helyezett:
1. hófúvás
2. zseegee
3. Misimókus
4. Pestimet
5. honza
6. met4ever
7. Hidegcsepp95
8. Télember
9. jocika8627
10. szabóka
11. Tullner_Job
12. matyi06
13. MacBook
14. Zivipötty
15. stelvio
16. herbary
17. mzs
18. Vizipók
19. Bakonyvár
20. Perico
Gratulálok mindenkinek, aki elégedett a szezonbelii teljesítményével és végig kitartott a "csatában" A téli kört egy hónap múlva kezdjük, addig jó pihenést mindenkinek!
Köszönjük hófúvásnak a naprakész kiesős listát, Hidegcseppnek pedig az összefoglalókat a fordulókról.
Hagyományoknak megfelelően a téli körben is az első húsz helyezett fog választani helyszínt és időpontot. A téli körre az esetleges változásokról majd írunk.
Forduló: Link
Összetett: Link
És akkor így áll fel az első húsz helyezett:
1. hófúvás
2. zseegee
3. Misimókus
4. Pestimet
5. honza
6. met4ever
7. Hidegcsepp95
8. Télember
9. jocika8627
10. szabóka
11. Tullner_Job
12. matyi06
13. MacBook
14. Zivipötty
15. stelvio
16. herbary
17. mzs
18. Vizipók
19. Bakonyvár
20. Perico
Gratulálok mindenkinek, aki elégedett a szezonbelii teljesítményével és végig kitartott a "csatában" A téli kört egy hónap múlva kezdjük, addig jó pihenést mindenkinek!
Köszönjük hófúvásnak a naprakész kiesős listát, Hidegcseppnek pedig az összefoglalókat a fordulókról.
Hagyományoknak megfelelően a téli körben is az első húsz helyezett fog választani helyszínt és időpontot. A téli körre az esetleges változásokról majd írunk.
Köszönjük az adatokat! 
A szél amúgy mérsékelt déli lett a HungaroMet állomáson.
A szél amúgy mérsékelt déli lett a HungaroMet állomáson.
Ezért látom, hogy a napi jelentésekben ( ? ) hogy van csapadék tegnapra, vagy átdobják az napi dátumra.
Nagyon határeset ez a reggeli 7-8 óra. És a jelenidő 6.45 vagy 7,45 6UTC szerint?
Na erről nem tudtam, bocs.
De ebből ered majd a sinoppos eltérés is, mint soxor ebben a versenykörben.
De ebből ered majd a sinoppos eltérés is, mint soxor ebben a versenykörben.
Szerintem viszont jó a megfogalmazás. Lásd alább:
"A csapadékmennyiség mérésénél a 2018. nyári versenykörtől kezdődően az OMSZ, valamint MetNet állomások esetében egész évben a helyi idő szerinti 06:45-06:45 közötti időintervallumot vesszük figyelembe, azaz a versenynap 06:45-től a versenynap utáni nap 06:45-ig számít a lehulló csapadék mennyisége."
"A csapadékmennyiség mérésénél a 2018. nyári versenykörtől kezdődően az OMSZ, valamint MetNet állomások esetében egész évben a helyi idő szerinti 06:45-06:45 közötti időintervallumot vesszük figyelembe, azaz a versenynap 06:45-től a versenynap utáni nap 06:45-ig számít a lehulló csapadék mennyisége."
Még nyári időszámítás van, a reggel hétig nem jó fogalmazás, reggel 8 ig (6 UTC) a választó víz.
A radar szerint 7.20-ig esett, azaz éppen az a határeset jött be, ami várható volt.
Lett és van eső 07 óra után.
Reggel hétig 4,5 mm esett (ez a tegnapi).
07-kor is esett és azóta is esik. Igaz, hogy gyengébb az intenzitás, de mérhető mennyiség már biztosan összejött. A kérdés, hogy lesz-e 1 mm felett?
Reggel hétig 4,5 mm esett (ez a tegnapi).
07-kor is esett és azóta is esik. Igaz, hogy gyengébb az intenzitás, de mérhető mennyiség már biztosan összejött. A kérdés, hogy lesz-e 1 mm felett?
Azért elég izgalmas forduló lesz ez holnap, zárónak kifejezetten kiszámíthatatlan, még most is nagy eltérések vannak a különböző előrejelzésekben, hogy reggel 7 óra után lesz-e eső? A gfs határozottan vár, míg az omsz határozottan nem vár
Talán nálunk is erre utal, hogy a döntő többség a 0,1-1 mm közöttit választotta, és persze, a Tmax is roppant érdekes lesz.
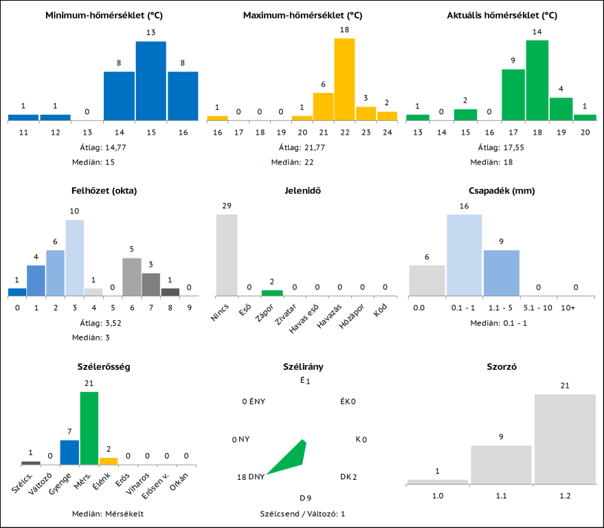
Elkészült az összefoglaló.
Azért az utolsó fordulóban is lehet miért izgulni.
Én gondoltam egy merészet, és leadtam egy eléggé kilógó tippet 24 fokos maximummal és 7 okta felhőzettel. Ha már a dobogóról lecsúsztam, akkor legalább a végére legyen már valami kockázat is. 


Már tegnap ki lett töltve a tippsor, csak el tévelyegtem másra, és elmaradt a zöld gomb megnyomása....
most küldtem el.
Az 1,2-es szorzójú tippek leadási határideje: 2024. október 6., vasárnap 20 óra (18 UTC).
Támogatom. Bár Siófok nem
éppen hideg hely, mint Zabar, vagy Debrecen-Nyiregyháza-Kecskemét K.puszta, de ha lenne egy legminuszosabb forduló Siófokon a tél folyamán, akkor élne a Balatoni Jég Királya titulus, aki legpontosabban eltalálná a minuszt.
éppen hideg hely, mint Zabar, vagy Debrecen-Nyiregyháza-Kecskemét K.puszta, de ha lenne egy legminuszosabb forduló Siófokon a tél folyamán, akkor élne a Balatoni Jég Királya titulus, aki legpontosabban eltalálná a minuszt.
Ha eljönne egy 2017 januárjához hasonló idő, akkor javasolni fogom, hogy legyen egy extra siófoki forduló, mondjuk egy Balaton átgyaloglással egybekötve, közös észleléssel. Csak legyen!
Azért az sem túl reális, hogy március végéig-április elejéig be legyen fagyva a Balaton (vagy akkor előbbre kell hozni a koronázást).
Az talán csöppet még korai lenne, de remélem a téli fordulóban lehet egy, akár a Balaton jegén történő koronázás.
Szép hosszú hajrát indítottam a kör második felében, de úgy tűnik, hogy nem lesz elég a Top20-hoz.
Ha nem cserélem fel a két hőmérsékleti értéket, akkor 21,6 ponttal a második lehettem volna...
Azt nem tudtam, hogy a napijelentésben szereplőt is úgy kerekítik, de megjegyzem
Ettől még lehetne 16 fokos a Tmax (16,5) mivel a térképen felfelé kerekítik a 16,5 fokot.
Viszont az adatoknál 16,6 fok van, így valóban 17 fok a Tmax.
Viszont az adatoknál 16,6 fok van, így valóban 17 fok a Tmax.
A met.hu-s 10 percenkénti csapadéktérképeken is 8:30-kor tűnik fel, szóval 8:20 és 8:30 között kellett esnie. A radar teljesen üres arrafelé nagy területen ekkor. METÉSZ-en sincs nyoma. Nekem automata hibának tűnik.
Örömködtem magamban, hogy elég jó fordulóm lehet, de most látom csak, hogy felcseréltem a Takt-ot és a Tmax-ot...
340° fok nem északi?
Tmin úgy néz ki 12 fok lesz.
Nem leszek gép közelében, így csak kedd este tudok kiesőssel szolgálni.
Tmin úgy néz ki 12 fok lesz.
Nem leszek gép közelében, így csak kedd este tudok kiesőssel szolgálni.
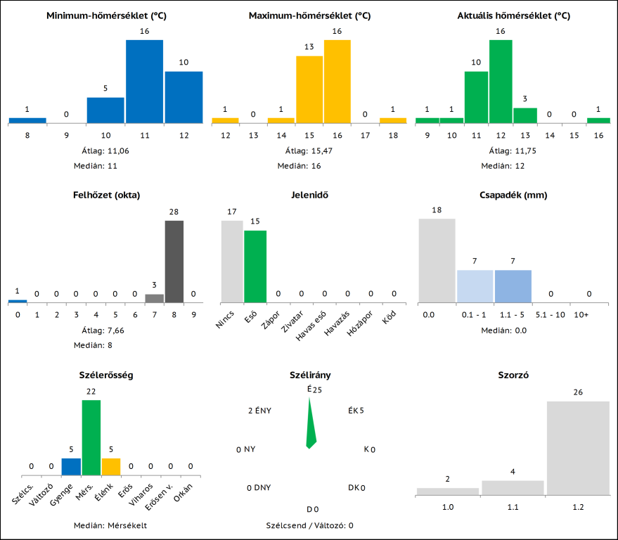
Elkészült az összefoglaló.
Ahogy nézem, a jelenidőn állhat vagy bukhat a forduló. Én gondoltam egy merészet, és beadtam az eső jelenidőt 0 mm csapadékkal, arra alapozva, hogy a mérés előtt 6 órakor még összejön valami kis szitálás vagy szemerkélés, aztán utána már nem lesz mérhető csapadék.
De ahogy nézem, nem csak én gondolkodtam így. 

Tegnap elém került hosszú idö után a nyunyókás néni és rögtön ramtört a szunyóka
